-
- Գծային հավասարումներ
аx+b=0
- Կրճատ բազմապատկման բանաձևեր՝
a3+b3=(a+b)(a2-ab+b2)
a3-b3=(a-b)(a2+ab+b2)
Ճիշտ է նաև հակառակը՝
(a+b)(a2-ab+b2)=a3+b3(a-b)(a2+ab+b2)=a3-b3
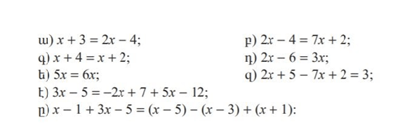
- Լուծել հավասարումը.
1.

ա)x=7
բ)x=1,2
գ)լուծում չունի
դ)x=-6
ե)x=0
զ)x=0,8
է)x=R
ը)x=5/3
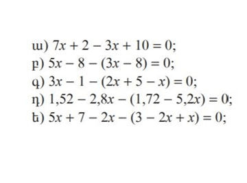
2.

Ա)x=4
բ)x=0
գ)x= 3
դ)0,2/3,6
ե)x=1
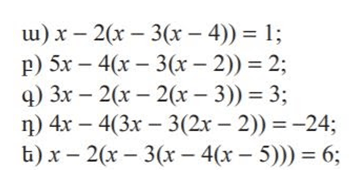
3.
Ա)x=5
x= -22/13
Գ)x=3
Դ)x=0
Ե)x=-6
4.

-
Ա)x+8=33 x=25
Բ)x•4=52 x=13
Գ)(x•7)+12=26 x=2
Դ) (x-4)•5=35 x=11
5.

Ա) 1-թ — x 2թ — x+6 x+x+6=18 2x+6=18 2x=12 x=6 1թ-6 2թ-12
Բ) 1թ — x 2թ — x-6 x+x-6=18 2x-6=18 2x=24 x=12 1թ-12 2թ-6
- Վերլուծել արտադրիչների՝ օգտվելով բանաձևերից՝
(a+b)(a2-ab+b2)=a3+b3
(a-b)(a2+ab+b2)=a3-b3
1)p3+q3=(p+q)(p2-pq+q2) 3)a3+8=(a+2)(a2-2a+4) 5)y3+1=(y+1)(y2-y+1)
2) p3-q3=(p-q)(p2+pq+q2) 4)b3-27=(b-3)(b2+3b+9) 6)x3-8=(x-2)(x2+2x+4)
7) p3-1=(p-1)(p2+p+1) 8)m3+64=(m+4)(m2-4m+16) 9)1-q3=(1-q)(1+q+q2)
- Վերլուծել արտադրիչների՝ օգտվելով բանաձևերից՝